MLLM‑as‑a‑Judge Exhibits Model Preference Bias

Anonymous


Under review

Abstract

Automatic evaluation using multimodal large language models (MLLMs), commonly referred to as MLLM-as-a-Judge, has been widely used to measure model performance. If such MLLM-as-a-Judge methods were biased, they could distort model comparisons and benchmark-driven scientific progress. However, it remains unclear to what extent MLLM-as-a-Judge methods favor or disfavor text generated by specific MLLMs. In this study, we propose Philautia-Eval to investigate such model-specific preference bias. Philautia-Eval quantifies the degree of the bias by disentangling preference tendencies from differences in generation quality. Using 1.29M caption-score pairs collected from 12 MLLMs, we found that representative MLLMs tend to exhibit self-preference bias. Moreover, experimental results indicate mutual preference bias within particular model families, which is potentially driven by reused connectors and overlapping instruction-tuning resources. Finally, we introduce a simple ensemble of MLLMs, Pomms. Our results demonstrated that Pomms effectively mitigated the model-specific preference bias while maintaining performance. Our project page and code are provided in the supplementary materials.


Eye catch figure.

Schematic of our approach for investigating model-specific preference bias in MLLM-as-a-Judge. Each MLLM typically favors its own generations (self-preference bias), whereas LLaVA-1.5 favors text generated by other models within the LLaVA family (cross-model preference bias). Our Panel of MLLM Evaluators (Pomms) exhibits less model-specific preference bias.

Overview


Pipeline of the proposed method.

Pipeline of the proposed method. Generators generate image captions, which are then given evaluation scores by Evaluators. From these scores, we construct a matrix \(\mathrm{\Phi}\), whose rows and columns correspond to the Generators and the Evaluators, respectively. We then standardize \(\mathrm{\Phi}\) column-wise and subsequently row-wise to obtain \(\tilde{\mathrm{\Phi}}\). The diagonal entries indicate the degree of self-preference bias, which we name the philautia score. In the figure, "std." stands for standardization.

Results


RQ1: To What Extent Does MLLM-as-a-Judge Exhibit Self-Preference Bias?

Main findings:

  • Representative MLLMs tend to exhibit self-preference bias.
  • References affect self-preference bias in Gemini 2.5 Pro.
  • GPT-4o has a relatively low self-preference bias.

Standardized matrix visualization.

Visualization of \(\tilde{\mathrm{\Phi}}\) in the (i) reference-based and (ii) reference-free settings. All philautia scores (diagonal items) were greater than zero, indicating the presence of self-preference bias within the MLLMs used in our experiments.



Qualitative Results

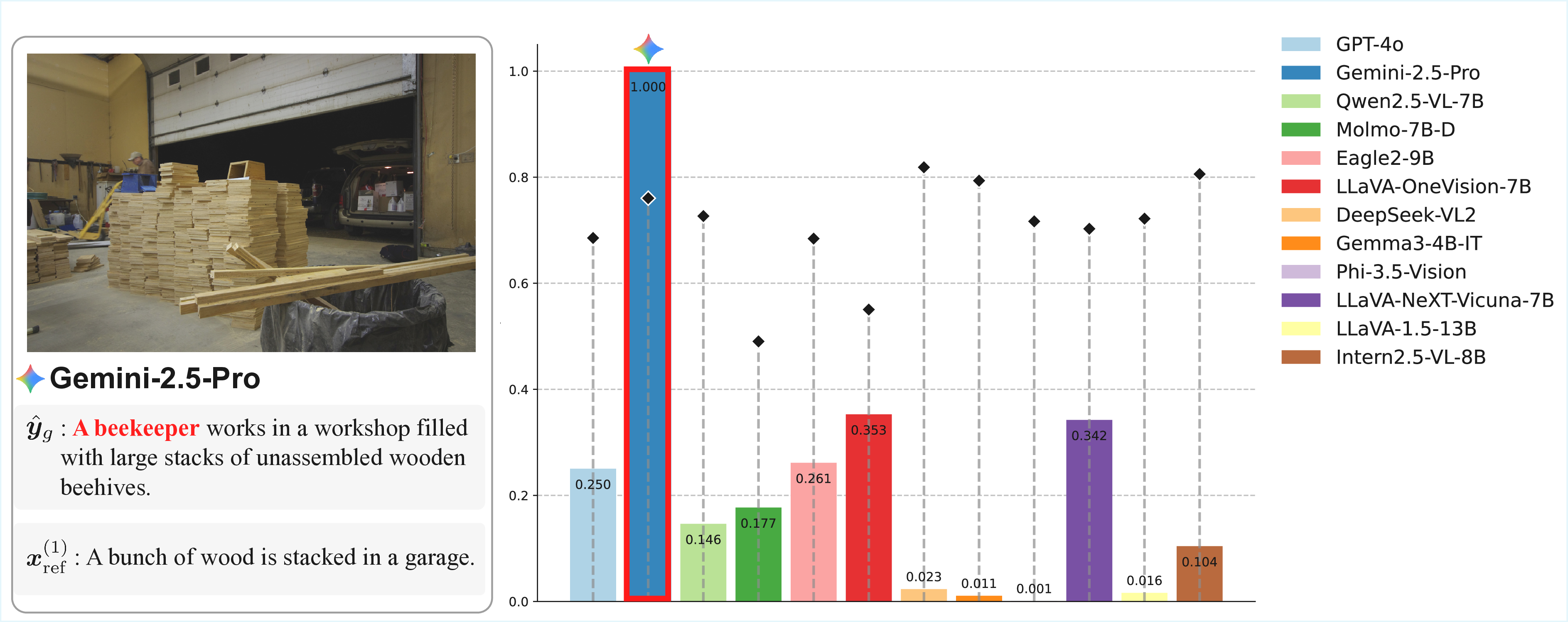
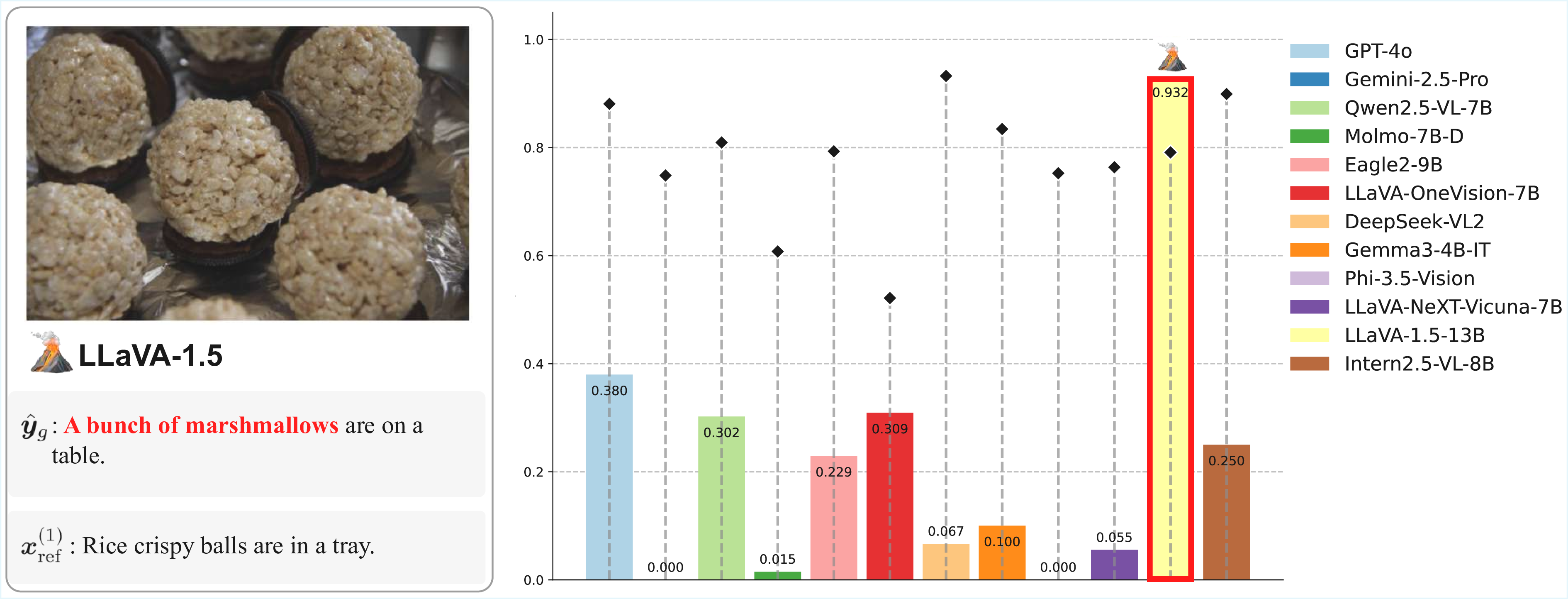
Qualitative result 1

Example of self-preference bias. The bar chart shows the scores given to a caption generated by Gemini-2.5-Pro. Gemini-2.5-Pro exceptionally gave high scores to its own generations compared with the other Evaluators. The symbol \(\blacklozenge\) represents the mean value of the scores by each Evaluator. Red text within \(\hat{\mathbf{y}}_{g}\) highlights hallucination.

1 / 3


RQ2: To What Extent Does Cross-Model Preference Bias Appear in MLLM-as-a-Judge?

Main findings:

  • Qwen-based MLLMs tend to favor each other.
  • Within the LLaVA family, LLaVA-1.5 tends to favor its successor models.

Cross-model preference bias visualization.

Visualization of preference bias within model families. (i) Submatrix for Qwen-based models: nine of the 12 off-diagonal entries were positive, suggesting a preference bias within the model family. (ii) Submatrix for LLaVA-family models: LLaVA-1.5-13B tends to favor its successor models (e.g., LLaVA-NeXT-Vicuna-7B, LLaVA-OneVision-7B).



RQ3: Can an Ensemble of Evaluators Mitigate the Influence of Model-Specific Preference Bias While Maintaining Alignment with Human Judgments?

Main findings:

  • Pomms mitigates preference bias while maintaining performance.

Metrics Nebula Flickr8k-Ex SelfEval-Cap
\(\tau_b\) ↑ \(\tau_c\) ↑ \(\tau_b\) ↑ \(\tau_c\) ↑ Φ-score
G-VEval GPT-4o 56.1 53.2 61.5 59.7 1.08
Qwen2.5-VL-7B 55.3 52.4 54.6 54.0 1.12
InternVL2.5-8B 54.1 51.3 54.6 52.9 3.03
Pomms (i) GPT-4o and InternVL2.5-8B 56.4 53.5 61.5 59.7 1.31
(ii) + Eagle2-9B 56.6 53.6 62.7 60.8 0.45
(iii) + LLaVA-OneVision-7B 56.6 53.7 60.6 58.8 -0.19
(iv) + DeepSeek-VL2 56.4 53.5 59.0 57.3 0.15
(v) + Qwen2.5-VL-7B 57.0 54.1 59.6 57.8 0.52
(vi) + Phi-3.5-Vision 57.0 54.1 59.6 57.8 0.42

Quantitative comparison between Pomms and the baselines. For Pomms, each row sequentially adds a model to the ensemble. Bold font indicates the best results, and underlined font indicates the second-best results. "Φ-score" represents the philautia score.


Evaluator Generator
GPT-4o Gemini-2.5-Pro Qwen2.5-VL-7B Molmo-7B-D Eagle2-9B LLaVA-OneVision-7B DeepSeek-VL2 Gemma3-4B-IT Phi-3.5-Vision LLaVA-NeXT-Vicuna-7B LLaVA-1.5-13B InternVL2.5-8B
Self 1.08 1.84 1.12 0.86 1.05 1.83 2.00 1.10 1.26 1.09 1.26 3.03
Pomms 0.23 0.18 0.67 -0.26 0.01 -0.90 0.67 -0.33 0.11 0.14 -0.18 0.34

Quantitative comparison between \(\tilde{\mathrm{\Phi}}_{E^{(i)}}(G^{(i)})\) and \(\tilde{\mathrm{\Phi}}_{\text{Pomms}}(G^{(i)})\). Bold font represents the best results.

BibTeX

Coming soon.